Témata
Zdroj: SHM

Jiný úhel pohledu aneb galaxie vlastností povlaků

Průmyslové PVD povlaky jsou dnes již technickou normálií. Jsou samozřejmostí nejenom v obrábění a tváření, ale i v mnoha typech komponent. Navzdory tomu zůstává hledání nových aplikací stále velmi komplikované. Přehled základních vlastností a jejich kombinací v různých neobvyklých aplikacích by mohl být inspirací a pomocí konstruktérům a technologům při řešení praktických technických problémů, které jsou zažitými postupy řešitelné velmi obtížně.

Ondřej Zindulka

Od roku 1999 je členem R&D týmu společnosti SHM, zabývá se vývojem CVD a PVD povlaků a technologií.
V posledním období se zaměřuje na hledání neobvyklých aplikací PVD vrstev a povlaků, spolupracuje s univerzitními pracovišti a průmyslovými partnery. 
V soukromí je hobby farmářem – hospodaří na dvacetihektarové farmě v podhůří Jeseníků.

Reklama

Se svolením doc. Karla Hrušky z Fakulty elektrotechnické Západočeské univerzity v Plzni začneme příkladem. Svorník transformátorových plechů elektromotoru trakčních aplikací musí být elektricky nevodivý, a to kvůli vířivým proudům a kvůli galvanickému oddělení samotných plechů. Musí být také mechanicky odolný vůči otřepům a ostřinám, vznikajícím při prostřihování otvorů. Jako konstrukční prvek musí být tento svorník schopen přenést zatížení, vznikající při montáži a provozu. A musí být odolný chemicky i teplotně a také vůči vibracím. Jeho cena navíc musí vyhovovat požadavkům oboru automotive. Tento soubor poměrně náročných požadavků definuje vlastnosti finálního řešení. Co tedy použít? Plasty, gumy, skla, keramiky i kompozity jsou mimo hru. Nabízí se tedy určitá kombinace. Ponechme ocel jako jádro. Jak ale odizolovat ocelový svorník? Pokročilou myšlenkou je plazmový nástřik. Teplota, tloušťka a případná pórozita nástřiku nepředstavují až tak velký problém, ale jeho nedostatečná adheze už ano. Nástřik nepřežije bez úhony montáž, a už vůbec ne dlouhodobý provoz. Jeho izolační schopnost je výborná, ale když na svorníku není... Co tedy nakonec použít?

Obr. 1. Pohonná jednotka s testovanými svorníky. (Zdroj: SHM)

Úspěšná aplikace PVD povlaku bude vždy souhrnem kombinací dílčích vlastností. Pro každý konkrétní řešený problém je možné vydefinovat ty nejdůležitější vlastnosti. Pokud jsou obsaženy v níže uvedeném přehledu, je velmi vysoká pravděpodobnost, že se podaří nalézt povlak nebo kombinaci povlaků se všemi potřebnými vlastnostmi. Přehled je pouze informativní z pohledu řešeného problému. V žádném případě si neklade za cíl ultimativní definici vlastností.

Tvrdost

Tvrdost PVD povlaků je asi jejich nejtypičtější vlastností a primárně závisí na jejich složení. Nereaktivně lze připravit velmi měkké čistě kovové povlaky. Nebo reaktivně nitridy, karbidy a oxidy s tvrdostí velmi vysokou. Složení lze pro dosažení požadovaného účinku v povlacích elegantně namíchat nebo střídat. Srovnání tvrdostí PVD povlaků s objemovými materiály je komplikované kvůli jiným měřicím technikám, odvozeným od mikronových tlouštěk těchto povlaků. Diamant má tvrdost okolo 100 GPa, čistě kovové povlaky mají tvrdost přibližně 4–8 GPa, běžné nitridické PVD povlaky 15–40 GPa a nejtvrdší 70–75 GPa. S jistou mírou nepřesnosti lze pro hrubé porovnání použít Vickersovu stupnici. 60 HRC u kalených ocelí odpovídá přibližně 700 HV, tvrdost diamantu okolo 10 000 HV a tvrdost PVD povlaků 1 500 – 7 500 HV. PVD vrstvy jsou tedy až řádově tvrdší než kalené oceli.

Reklama
Reklama
Reklama

Otěruvzdornost

Je v přímé souvislosti s tvrdostí, alespoň v aplikacích s nízkou kontaktní teplotou. Většina povlaků vznikla původně pro obrábění a tváření, a jejich otěruvzdornost je tedy mimořádná. Pokud ale z vašich dílů mizí desetiny a jednotky milimetrů, nebude PVD povlak kvůli své mikronové tloušce to pravé ořechové. Někdy ještě může pomoci kombinace s nitridací, lepší tepelná úprava nebo kvalitnější podkladový materiál.

Elektrická rezistivita / dielektrická pevnost

Pro zmíněný svorník se jedná o nejdůležitější vlastnost. Měření dielektrických vlastností je ovšem poměrně obsáhlou oblastí. V následujících grafech jsou měření dielektrických parametrů PVD povlaku Sinel, která se pro tuto aplikaci jeví jako nejvhodnější.

Na Fakultě elektrotechnické Západočeské univerzity v Plzni byly testovány širokopásmovou dielektrickou spektroskopií dvě tloušťky povlaku: 6,8 a 13,1 µm (viz obr. 2 a 3).

Obr. 2. Frekvenční závislost permitivity povlakovaných vzorků. (Zdroj: SHM)
Obr. 3. Frekvenční závislost ztrátového činitele povlakovaných vzorků. (Zdroj: SHM)

Z výsledků je patrné, že zkoušené vzorky vykazují při nízkých frekvencích poměrně velkou relativní permitivitu, která má až do řádu stovek hertzů hodnotu vyšší než 3. Vzorky jsou tedy kvalitními izolanty. Ztrátový činitel, který definuje ztráty v samotném povlaku, se pohybuje v hodnotách poněkud vyšších (desetiny až jednotky), nicméně klesá k řádům setin na frekvencích v řádech megahertzů.

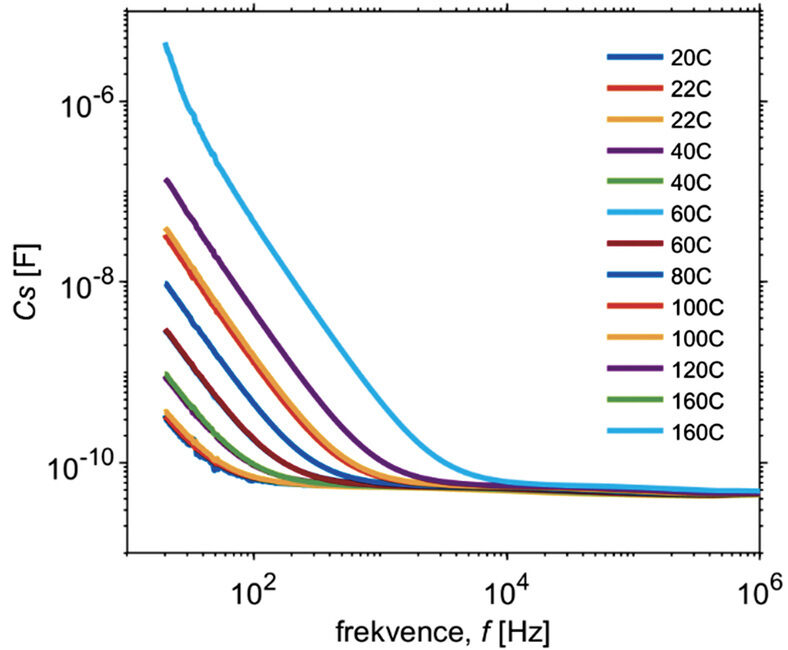
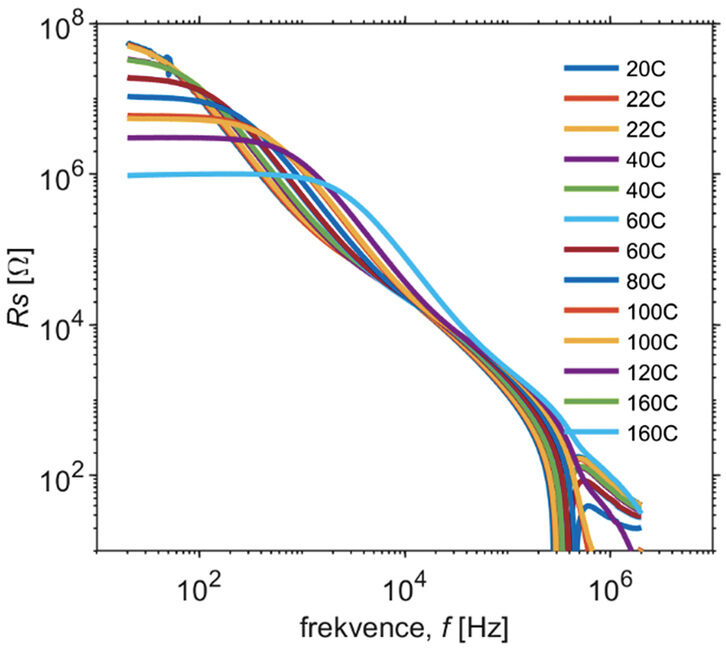
Další měření provedl špičkový tým prof. L. Grmely z Fakulty elektrotechniky a komunikačních technologií Vysokého učení technického v Brně. Měřeny byly elektrické vlastnosti povlaku o tloušťce 8,6 µm. Jednalo se o frekvenční a teplotní závislost parametrů RS a CS sériového náhradního obvodu. Měření ukázalo, že frekvenční charakteristiky sériového náhradního obvodu (viz obr. 4 a 5) jsou teplotně závislé.

Obr. 4. Frekvenční závislost parametru CS při různých teplotách. (Zdroj: SHM)

V oblasti nízkých frekvencí vzrůstá s rostoucí teplotou hodnota sériové kapacity CS a naopak sériový odpor RS s teplotou klesá. Ve frekvenční oblasti nad 100 kHz dochází k rezonancím. Pro nízké frekvence je závislost CS na frekvenci mocninná. Parametr RS je na frekvenci nezávislý až do mezní frekvence, která je teplotně závislá. Sériový odpor RS pro nízké frekvence klesá exponenciálně s teplotou. Na obr. 6 je zobrazena teplotní závislost parametru RS na teplotě pro frekvenci 20 Hz, proložená exponenciální funkcí.

Obr. 5. Frekvenční závislost charakteristiky parametru RS při různých teplotách. (Zdroj: SHM)

Vysokoteplotní stabilita

Nejběžnějším způsobem hodnocení teplotní stability je měření tvrdosti při různých teplotách žíhaných vzorků. Pokud se žíhání provádí ve vakuu nebo v ochranné atmosféře, jedná se o strukturní „nechemickou“ stabilitu. Většina PVD povlaků přežije spolehlivě 400 °C, ty nejlepší více než 1 100 °C. Z pohledu reálných aplikací je to trošku podraz, pokud nejsou provozovány právě ve vakuu nebo ve spolehlivé neoxidační atmosféře. Mnohem realističtější je žíhání na vzduchu, popř. v technickém vzduchu, tedy s kyslíkem a vodní párou. Hodnoty jsou mnohdy výrazně nižší, ale optimalizované povlaky opět přežijí teploty nad 1 000 °C. Kompaktní PVD povlaky mohou poskytnout účinnou ochranu pro podkladové materiály.

Korozivzdornost

Reálné dílce jsou kromě provozního namáhání ve většině případů vystaveny také působení okolního, mnohdy značně chemicky agresivního prostředí. Koroze je tak všudypřítomným problémem. Při reakci základního materiálu s prostředím dochází k rekombinaci a ke vzniku korozních produktů (např. oxidů), k oslabování hranic zrn materiálu a ke vzniku lokálních defektů, které mohou zasahovat do značné hloubky. Většina PVD povlaků již v základu poskytuje velmi dobrou korozní ochranu díky svým velice silným iontovým vazbám a značné chemické stabilitě. Tlusté povlaky CrN a CrNx jsou velmi dobrou první volbou a skvělou alternativou ke standardním řešením, jako je např. chromování.

Reklama

Adheze

Dobrá adheze PVD povlaku k substrátu je základním předpokladem pro úspěšnou aplikaci. Povlaky pro obrábění a pro tváření musí mít v principu adhezi velmi dobrou. Pro většinu komponentů tato adheze bez problémů vyhovuje. Je testována empirickým, tzv. Mercedes testem, založeným na vyhodnocování přídržnosti povlaku na kontrolním vzorku deformovaném Rockwelovým vtiskem. Povlak mnohdy rozpraská, ale od vzorku se neodlomí. O něco horší, ale pro většinu komponentů naprosto dostatečná adheze je spojena s nízkoteplotními procesy (s teplotou okolo 180 °C).

Drsnost

Povlaky mají ve většině typických tlouštěk snahu kopírovat podklad a oproti glazuře nemají tendenci povrch „vyhlazovat“. Mají svoji drsnost (okolo 0,02–0,1 µm na 1 µm tloušťky podle použité povlakovací technologie), tu však lze snížit následným leštěním. Běžnou strojařskou drsnost tedy PVD povlaky nezhoršují.

Tloušťka

Typická tloušťka PVD vrstev je 2–5 µm, v odůvodněných případech – například u elektricky nevodivých vrstev, difuzních bariér nebo aplikací s enormně velkým otěrem – je 10–25 µm. Ve většině aplikací tak nedochází ke kolizi s výrobními tolerancemi. Pokud ano, lze tloušťku vrstvy řídit v rozsahu přibližně 0,5–2 µm a velkou část strojírenských dílů lze podle potřeby předupravit.

Depoziční teplota

PVD technologie je „teplomilka“. Optimální povlakovací teploty jsou 450–550 °C. Je to z důvodu odplynění dílů ve vakuových aparaturách a především kvůli chemismu růstu vrstev, nicméně řadu povlaků lze nanášet již od teplot 180 °C, a to s adhezí vyhovující způsobu nasazení komponent.

Obr. 6. Teplotní závislost parametru RS pro frekvenci 20 Hz. (Zdroj: SHM)

Vhodné materiály

Povlakovat lze ledasco. Preferovány jsou materiály s alespoň částečnou elektrickou vodivostí a teplotní odolností – oceli, slitiny hliníku, cermety, slinutý karbid – ale ne nezbytně, povlaky je možné nanést i na sklo, keramiku a plasty.

Dokončeme příklad se svorníkem z úvodu. Základním požadavkem je tedy elektrická nevodivost (dielektrická pevnost / průrazné napětí > 1 kV), následovaná mechanickou odolností (tvrdost, otěruvzdornost), chemickou stabilitou (provozní prostředí automobilu, vzduch coby chemické činidlo), teplotní stabilitou (při provozu motoru může docházet k nárůstu teplot k 200 °C) a dobrou adhezí (ohybový test svorníku). Co z toho vychází pro PVD povlaky? Z popisu vlastností PVD povlaků v předchozím přehledu vypadá jejich nasazení jako dobrá volba, dále je však potřeba dohledat konkrétní povlak. Pro rychlý výběr je na stránkách www.shm-cz.cz k dispozici přehled všech aktualizovaných informací k vlastnostem PVD povlaků a některých aplikací.

Řešení z pohledu povlakáře: musí to být reaktivně nanesený povlak. Nanesení povlaků čistých kovů stačit nebude, takže je třeba použít nitridy, karbidy a oxidy. Z hlediska dielektrické pevnosti jsou na tom nejlépe oxidy, ty však běžné metody PVD moc kvalitně nanášet nedokážou, takže se nabízejí nitridy. Běžné nitridické povlaky nejsou špatné, ale izolační pevnosti > 1 kV nedosahují. Naštěstí je k dispozici jedna anomálie: povlak na bázi křemíku, která má už při tloušce 5 µm DC izolační pevnost téměř 2 kV (při tloušce 10 µm 3,3 kV). Elektricky vyřešeno. Povlak má i solidní plastickou tvrdost okolo 25 GPa, srovnatelnou s TiN. Chemická a tepelná stabilita je enormní. Jde o jeden z mála povlaků, které na vzduchu (ne vakuum, ne dusík) přežijí > 1 000 °C. Ekonomicky lze nanést tloušku i 10 µm, což by byla velká rezerva provozní spolehlivosti. Adheze i při 10 µm je na ocelovém svorníku perfektní. Ohybový test, který zahrnuje smotání svorníku na průměr přibližně 5 cm, nezpůsobí delaminaci povlaku. Tento povlak se tak jeví jako vhodná volba podle všech kritérií.

Závěr? Elektricky izolační povlak s potřebnými vlastnostmi vhodný pro galvanické oddělení svorníku transformátorových plechů existuje.

PVD povlakování nabízí navíc velmi cenný bonus. Vlastnosti PVD povlaků lze ve většině případů pro konkrétní aplikaci vhodně kombinovat a nalézt původně neplánovaný přínos. Pro zmíněný svorník nemusí být povlak strukturně pouze monovrstvou, ale například lze na ocelový podklad nanést vrstvu elektricky nevodivou, vložit vodivou indikační mezivrstvu pro kontrolní kontakt, překrýt ji opět nevodivou vrstvou a na povrch nanést dekorativní či ochrannou vrstvu o vysoké tvrdosti. Možností je takřka galakticky neomezeně…

Související články
PVD dvojče pro náročné tváření a lisování

Vývoj nového PVD povlaku pro tváření se tentokrát ubíral docela nezvyklou cestou. Nešlo v principu o vývoj nového systému, ale o technologicky poměrně náročnou kombinaci stávajících povlaků s velmi odlišnými vlastnostmi a s odlišným způsobem depozice. Výsledkem je povlak, jehož chování v náročných tvářecích aplikacích příjemně překvapilo i samotné vývojáře. Výkon samostatných vrstev v těchto aplikacích byl nepřesvědčivý, významné navýšení životnosti tvářecích nástrojů však přineslo jejich spárování.

Nový výkonný a univerzální PVD povlak

Povlak Bigaan byl uveden na trh již v roce 2018 a uplatňuje se hlavně při frézování ozubených kol do převodovek motorů. Letos společnost SHM představuje jeho druhou generaci, která kombinuje velmi tvrdý základ se závěrečnou kluznou vrstvou ve formě hexagonálního nitridu boru. Aplikační testy u zákazníků vykazují minimálně o 50 % lepší užitné vlastnosti v porovnání s běžně užívanými povlaky.

Povlaky ta-C
připravované magnetronovou depozicí

Diamantové vrstvy jsou svatým grálem otěruvzdorných povlaků připravovaných na řezné nástroje. Existuje řada různých technologií přípravy, v principu rozdělených do dvou skupin: je to technologie nízkoteplotní fyzikální a technologie vysokoteplotní chemická. V našem případě se jedná o fyzikální způsob přípravy vrstev obecně nazývaný jako technologie PVD. Technologie PVD se dále dělí na depozici pomocí nízkonapěťového oblouku a depozici pomocí magnetronového naprašování. Obě metody mají své výhody a svá úskalí.

Související články
Plzeňské setkání strojařů

Katedra technologie obrábění Fakulty strojní Západočeské univerzity v Plzni letos uspořádala již devátý ročník mezinárodní konference Strojírenská technologie Plzeň. V porovnání s minulým ročníkem zaznamenala podstatně větší návštěvnost – čítala téměř dvě stě účastníků a uskutečnilo se bezmála šedesát prezentací. Náš časopis na konferenci figuroval jako mediální partner akce.

Reklama
Reklama
Reklama
Reklama
Související články
Tak trochu jiný povlak

Vývoj PVD povlaků probíhá v průmyslovém měřítku od 90. let. Standardem pro obrábění a tváření se staly různé technologické a chemické obměny vrstev TiAlN a CrAlN. Zdálo se, že v této oblasti již nelze dosáhnout převratnější změny. Ukazuje se však, že to možné je.

Z garáže až na vrchol v PVD technologii povlakování

Pavel Holubář je ředitelem průmyslové společnosti SHM. Tato zkratka značí Super Hard Materials, a to je přesně to, o co tu jde. Zjednodušeně řečeno jde principiálně o fyzikální metody nanášení tenkých vrstev na nástroje, kdy nanesená několikamikronová vrstva dává materiálu zcela jiné mechanické vlastnosti. Především podstatně prodlužuje jeho životnost. Jaká byla 25 let trvající cesta až na samotný vrchol, kdy technologie firmy SHM jsou v současné době rozesety ve 35 zemích světa? O tom – a nejen o tom – jsme si s Pavlem Holubářem povídali.

Vysokoteplotní kluzné vrstvy vanadu

Intenzifikace řezných procesů zvyšuje teplotu řezů. S tím souvisejí mimo jiné zvýšené nároky na tepelnou stabilitu použitých otěruvzdorných povlaků. Možným řešením je vývoj PVD povlaků s funkcí vysokoteplotních lubrikantů, které jsou schopny snížením koeficientů tření řezné teploty snižovat. K jedněm ze slibných a již studovaným systémům patří PVD vrstvy s přídavkem vanadu, které za vysokých teplot tvoří Magnéliho oxidické fáze se zmíněnou schopností. Velkým problémem je však trvanlivost těchto fází při mechanickém namáhání v průběhu obrábění. Příspěvek je věnován některým praktickým aspektům přípravy PVD vrstev CrVN a jejich vlastnostem.

Přesné měření tloušťky povlaků

Pro optimalizaci vlastností povrchových povlaků a filmů ve výzkumu, vývoji i průmyslové výrobě je důležitá přesná kontrola jejich tloušťky a rovnoměrnosti rozložení. Metrologická metoda CCI představuje mimořádnou přesnost měření pro široký rozsah tlouštěk povlaků.

Pod dvou letech opět na EMO do Hannoveru

Od 16. do 21. září 2019 se uskuteční 22. ročník největšího světového veletrhu zpracování kovů EMO. Megaakce se koná opět v Německu, které je po Číně a USA třetím největším trhem obráběcích strojů na světě. Veletrhu se účastní téměř 2 100 vystavovatelů ze 47 zemí světa. Z České republiky se očekává účast 28 firem na ploše necelých 1 700 m2. Na minulý veletrh v roce 2017 přijelo do Hannoveru z České republiky přes 2 200 odborníků.

CIMT Peking, Část 2. Win Together

Podtitul veletrhu CIMT 2019 byl: 融合共赢 智造未来. Musíte uznat, že motto veletrhu je v této pro nás exotické podobě zahaleno značným tajemstvím. Dáte-li větu do automatického překladače, výsledná myšlenka zní: fúze a výhra. Jednoduchá slova, divný obsah - tento způsob nalezení významu věty opravdu není žádná výhra. Proto se o nápravu "ztráty v překladu" pokusíme v druhém vstupu z veletrhu, ve kterém se tentokrát podíváme i za technikou.

CIMT Peking, Část 1. Obecný pohled

V předvelikonočním týdnu se v Pekingu uskutečnil veletrh obráběcích strojů CIMT 2019. V asijském regionu se jedná o obdobu veletrhu EMO Hannover. A stejně jako EMO je velkou měrou národní výstava německé výrobní techniky, tak CIMT je převážně čínský. V tomto prvním vstupu se podíváme na letošní ročník trochu s odstupem, aniž bychom se zaměřili na konkrétní exponáty.

Nebojte se výzev!

Tuto větu mi na konec rozhovoru řekl Ing. Radomír Zbožínek, člen představenstva Tajmac-ZPS, který se stále podílí na dění v mateřské firmě. Slovo "mateřská" pro pana Zbožínka platí dvojnásob, do firmy totiž nastoupil 1. listopadu 1972, takže zde "kroutí" již svou 46. sezonu. Tak akorát na to, aby jeho slova mohla posloužit i dalším lidem.

Perspektivy čínského draka

Již několik let vám pravidelně v tomto čase přinášíme reportáže ze dvou klíčových strojírenských veletrhů celého asijského kontinentu, které jsou určitým barometrem srovnání postupného vývoje čínských výrobců obráběcích strojů a komponent, ale i pohledem na zvolené marketingové strategie nadnárodních společností při jejich penetraci na zdejší čínský trh – největší a nejprogresivněji rostoucí na světě. V lichých letech se v Pekingu v dubnu koná veletrh CIMT (China International Machine Tool Show), v sudých přibližně ve shodné době pak v Šanghaji veletrh CCMT (China CNC Machine Tool Fair). Aktuální postřehy z každého dne veletrhu jsme přinášeli prostřednictvím redakčního portálu mmspekturm.com a sociální sítě facebook, s tradičním komplexnějším pohledem na veletrh a čínský komoditní trh jako takový přicházíme nyní.

Aplikace moderních postupů a technologií v obrábění

Společnost Hofmeister pravidelně svým zákazníkům představuje novinky a inovace nejen vlastní, ale také svých obchodních partnerů. Účast na listopadových zákaznických dnech svědčí o velkém zájmu.

Reklama
Předplatné MM

Dostáváte vydání MM Průmyslového spektra občasně zdarma na základě vaší registrace? Nejste ještě členem naší velké strojařské rodiny? Změňte to a staňte se naším stálým čtenářem. 

Proč jsme nejlepší?

  • Autoři článků jsou špičkoví praktici a akademici 
  • Vysoký podíl redakčního obsahu
  • Úzká provázanost printového a on-line obsahu ve špičkové platformě

a mnoho dalších benefitů.

... již 25 let zkušeností s odbornou novinařinou

      Předplatit